Αυτό το θέμα έχει προκαλέσει μεγάλο προβληματισμό στις Βρυξέλλες, καθώς φαίνεται ότι παραλήπτης αυτού του ανεπίσημου διπλωματικού εγγράφου, του οποίου οι συγγραφείς είναι άγνωστοι, είναι ο πρόεδρος του Ευρωπαϊκού Συμβουλίου Σαρλ Μισέλ.
Ακόμη δεν έχει διαλευκανθεί το κατά πόσο ο πρωθυπουργός της Σλοβενίας Γιάνεζ Γιάνσα έστειλε πραγματικά στις Βρυξέλλες αυτό το ανεπίσημο διπλωματικό έγγραφο, το οποίο αναφέρεται σε συνοριακές αλλαγές σε χώρες της πρώην Γιουγκοσλαβίας, σύμφωνα με τον σλοβενικό ιστότοπο necenzurirano.si που αποκάλυψε το όλο ζήτημα.
Εκπρόσωποι της Ευρωπαϊκής Επιτροπής δήλωσαν στο δίκτυο Euractiv, ότι έχουν «πλήρη άγνοια» για το εν λόγω έγγραφο, ενώ άγνοια δηλώνουν και Ευρωπαίοι διπλωμάτες, που υποστηρίζουν ότι δεν έχει παρουσιαστεί κανένα τέτοιο έγγραφο στους αντιπροσώπους των κρατών μελών.
Ταυτόχρονα όμως, το γραφείο όμως του πρόεδρου Σαρλ Μισέλ ούτε αρνείται, αλλά ούτε επιβεβαιώνει την ύπαρξη αυτού του εγγράφου.
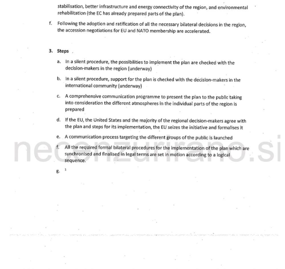
Η ενημερωτική ιστοσελίδα της Σλοβενίας δημοσίευσε τμήματα αυτού του παράξενου non paper, όπου κάνει λόγο για επαναπροσδιορισμό των συνόρων στην περιοχή για να επιλυθούν μακροχρόνια προβλήματα στη Βοσνία-Ερζεγοβίνη και το Κόσοβο.
Συγκεκριμένα το περίεργο αυτό έγγραφο αναφέρει ότι μετά την ειρηνευτική Συμφωνία του Ντέιτον του 1995 που έληξε τον πόλεμο στη Βοσνία, η ευρωπαϊκή προοπτική των χωρών της περιοχής οδήγησε στη βελτίωση των σχέσεων και στη σταθερότητα, αλλά δεν έλυσε βασικά προβλήματα, όπως το ότι η Τουρκία προσπαθεί να αυξήσει την επιρροή της στη Βοσνία-Ερζεγοβίνη και τη Βόρεια Μακεδονία.



Οι «λύσεις» που αναφέρονται στο έγγραφο είναι οι εξής:
- α) Ενοποίηση του Κοσόβου και της Αλβανίας
- β) Παραχώρηση, ως αντάλλαγμα, στη Σερβία του ευρύτερου μέρους της Republika Srpska, δηλαδή της Σερβικής Δημοκρατίας της Βοσνίας
- γ) Ένωση των κροατικών περιοχών της Βοσνίας-Ερζεγοβίνης με την Κροατία ή παραχώρηση ειδικού καθεστώτος όπως αυτό που ισχύει στο Νότιο Τιρόλο.
- δ) Το ίδιο καθεστώς προβλέπεται και για τις σερβικές περιοχές του Κοσόβου.
- ε) Οι Βόσνιοι θα αποκτήσουν ανεξάρτητο κράτος και με δημοψήφισμα θα μπορούν να επιλέξουν είτε την ΕΕ, είτε την σύσφιξη των σχέσεων τους με άλλη χώρα, όπως η Τουρκία.
«Προς το παρόν, η συντριπτική πλειοψηφία των Βοσνίων τάσσονται υπέρ της ΕΕ, με την απότομη αύξηση της τουρκικής επιρροής και του ριζοσπαστικού Ισλάμ, η κατάσταση θα μπορούσε να επιδεινωθεί δραστικά την επόμενη δεκαετία» αναφέρεται χαρακτηριστικά.
Σύμφωνα με τη γερμανική έκδοση της Deutsche Welle, συντάκτης, ή τουλάχιστον ένας από τους συντάκτες αυτού του ανυπόγραφου εγγράφου, είναι ο πρωθυπουργός της Σλοβενίας.
Τον περασμένο Μάρτιο, έξι κράτη μέλη της ΕΕ και συγκεκριμένα η Ελλάδα, η Βουλγαρία, η Κροατία, η Κύπρος, η Ουγγαρία και η Σλοβενία, είχαν συνυπογράψει ένα non paper με αφορμή τη συνάντηση των υπουργών Εξωτερικών της ΕΕ στις 22 του μήνα, τονίζοντας ότι η Βοσνία-Ερζεγοβίνη πρέπει «να παραμείνει στο επίκεντρο της ΕΕ».
Ακολούθησε το eleftherostypos.gr στο Google News και μάθε πρώτος όλες τις ειδήσεις
Ειδήσεις σήμερα
- Ο Ερντογάν ήταν άλλου: Ο Τσαβούσογλου έβαλε στη θέση του τον Δένδια!
- Συγκλονίζει η σύζυγος του Καραϊβάζ: «Ο Γιώργος μου αγαπούσε τους πάντες»
- Άγριο ξύλο στο Βόλο: Άνδρας επιτέθηκε σε τρία άτομα που κάθονταν στο πάρκο
- Ο Δένδιας αποθεώνεται από την Προεδρική Φρουρά: «Με ύψος 1,92 θα μπορούσε να ήταν Εύζων!»
- Τροχαίο στη Γαύδο: Αμφισβητείται η στάση του οδηγού από την οικογένεια
Δείτε όλες τις τελευταίες Ειδήσεις από την Ελλάδα και τον Κόσμο, ανά πάσα στιγμή στο EleftherosTypos.gr

