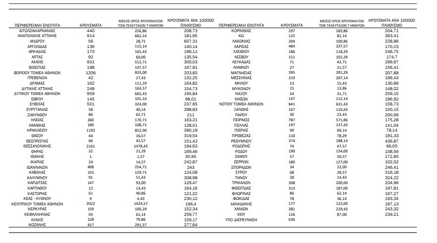
Αναλυτικότερα τα κρούσματα στις περιφερειακές ενότητες που ανήκουν στην Αττική:
Ανατολική Αττική 914
Βόρειος τομέας Αθηνών 1.206
Δυτική Αττική 249
Δυτικός τομέας Αθηνών 959
Κεντρικός τομέας Αθηνών 2.022
Περιφερειακή Ενότητα Νήσων 147
Νότιος τομέας Αθηνών 841
Πειραιάς 787
Αναλυτικά, η γεωγραφική κατανομή των σημερινών κρουσμάτων:

Η ανακοίνωση του ΕΟΔΥ για τα νέα κρούσματα σήμερα:
Τα νέα εργαστηριακά επιβεβαιωμένα κρούσματα της νόσου που καταγράφηκαν τις τελευταίες 24 ώρες είναι 21.863, εκ των οποίων 25 εντοπίστηκαν κατόπιν ελέγχων στις πύλες εισόδου της χώρας. Ο συνολικός αριθμός των κρουσμάτων ανέρχεται σε 2.583.366 (ημερήσια μεταβολή +0.9%), εκ των οποίων 49.4% άνδρες. Με βάση τα επιβεβαιωμένα κρούσματα των τελευταίων 7 ημερών, 196 θεωρούνται σχετιζόμενα με ταξίδι από το εξωτερικό και 1.077 είναι σχετιζόμενα με ήδη γνωστό κρούσμα.
Οι νέοι θάνατοι ασθενών με COVID-19 είναι 56, ενώ από την έναρξη της επιδημίας έχουν καταγραφεί συνολικά 26.424 θάνατοι. Το 95.2% είχε υποκείμενο νόσημα ή/και ηλικία 70 ετών και άνω.
Ο αριθμός των ασθενών που νοσηλεύονται διασωληνωμένοι είναι 359 (64.3% άνδρες). Η διάμεση ηλικία τους είναι 68 έτη. To 88.6% έχει υποκείμενο νόσημα ή/και ηλικία 70 ετών και άνω. Μεταξύ των ασθενών που νοσηλεύονται διασωληνωμένοι, 237 (66.02%) είναι ανεμβολίαστοι ή μερικώς εμβολιασμένοι και 122 (33.98%) είναι πλήρως εμβολιασμένοι. Από την αρχή της πανδημίας έχουν εξέλθει από τις ΜΕΘ 4.324 ασθενείς.
Οι εισαγωγές νέων ασθενών Covid-19 στα νοσοκομεία της επικράτειας είναι 357 (ημερήσια μεταβολή +36.78%). Ο μέσος όρος εισαγωγών τουεπταημέρου είναι 282 ασθενείς.Η διάμεση ηλικία των κρουσμάτων είναι 35 έτη (εύρος 0.2 έως 108 έτη), ενώ η διάμεση ηλικία των θανόντων είναι 79 έτη (εύρος 0.2 έως 106 έτη).
Νέοι θάνατοι ασθενών με COVID-19 (%)
0-9 ετών 0 (0.0%)
10-19 ετών 0 (0.0%)
20-29 ετών 0 (0.0%)
30-39 ετών 0 (0.0%)
40-49 ετών 0 (0.0%)
50-59 ετών 1 (1.8%)
60-69 ετών 5 (8.9%)
70-79 ετών 7 (12.5%)
80-89 ετών 30 (53.6%)
90+ ετών 13 (23.2%)
Σύνολο 56 (100.0%)
Ακολούθησε το eleftherostypos.gr στο Google News και μάθε πρώτος όλες τις ειδήσεις
Ειδήσεις σήμερα
- Πόλεμος στην Ουκρανία: Κρίσιμη ημέρα στα πεδία των μαχών και της διπλωματίας – Live οι εξελίξεις από τα μέτωπα του πολέμου
- Πόλεμος στην Ουκρανία: Ακαρπη η συνάντηση Λαβρόφ – Κουλέμπα – «Δεν κάναμε καμία πρόοδο»
- Κακοκαιρία «Φίλιππος»: Ντύνεται ξανά στα λευκά η Αττική – Πώς θα εξελιχθεί τις επόμενες ώρες [εικόνες & βίντεο]
- Παλαιό Φάληρο: «Γάζωσαν» με σφαίρες 63χρονο επιχειρηματία – Νοσηλεύεται σε σοβαρή κατάσταση
- Οι Ρώσοι κροίσοι συνεχίζουν τις δουλειές τους στην Ελλάδα – Τι λένε στον Ε.Τ. οι εκπρόσωποί τους
- Φωτοβολταϊκά στο σπίτι: πόσο κοστίζει η ενεργειακή αυτονομία – Όσα πρέπει να ξέρετε
Δείτε όλες τις τελευταίες Ειδήσεις από την Ελλάδα και τον Κόσμο, ανά πάσα στιγμή στο EleftherosTypos.gr

