Οι χρεώσεις αυτές, συμπεριλαμβανομένης και της εν λόγω ρήτρας Οριακής Τιμής Συστήματος αποτελούν μέρος της σύμβασης προμήθειας, του κάθε προμηθευτή, ενώ η εφαρμοζόμενη μεθοδολογία για τον υπολογισμό των εν λόγω χρεώσεων αναγράφεται μέσα σε αυτή.
Εφόσον λοιπόν η Σύμβαση Προμήθειας μεταξύ του Προμηθευτή και του Πελάτη (ρήτρες αναπροσαρμογής) , προβλέπει την επιβολή της ανωτέρω Ρήτρας, η τελευταία είναι νόμιμη, στο πλαίσιο της συμβατικής σχέσης για την προμήθεια ηλεκτρικής ενέργειας.
H Αρχή στο πλαίσιο των αρμοδιοτήτων της περί προστασίας των καταναλωτών και για τη διασφάλιση της ενημέρωσής τους βάσει των αρχών της διαφάνειας, της απλότητας και της σαφήνειας των τιμολογίων που προσφέρονται στους Μικρούς Καταναλωτές, λαμβάνοντας υπόψη και τον εντεινόμενο ανταγωνισμό στην αγορά ενέργειας, προχώρησε στην έκδοση της Απόφαση ««Κατευθυντήριες Οδηγίες για τη διαφάνεια και την επαληθευσιμότητα των χρεώσεων στο ανταγωνιστικό σκέλος των τιμολογίων ΧΤ» (ΦΕΚ B 1364/ 14.04.2020)», βάσει της οποίας πρότεινε την τυποποίηση και απλοποίηση του τρόπου υπολογισμού των ρητρών αναπροσαρμογής.
Ρήτρες αναπροσαρμογής: Πως υπολογίζονται
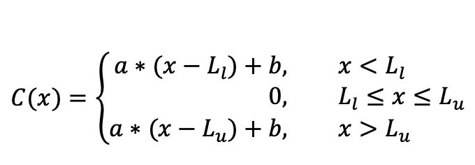
Πιο αναλυτικά, πρότεινε την παρακάτω μορφή για τους μηχανισμούς αναπροσαρμογής τιμολογίων που εφαρμόζονται σε τιμολόγια που προσφέρονται από τους Προμηθευτές ηλεκτρικής Ενέργειας:

Όπου:
C(x): Μοναδιαίο κόστος του εκάστοτε μηχανισμού αναπροσαρμογής χρέωσης του κάθε μεγέθους x.
x: Ο μέσος όρος που λαμβάνει το κάθε μέγεθος αναφοράς της αγοράς για την περίοδο ελέγχου (t).
Lu: Τιμή του μεγέθους αναφοράς πάνω από την οποία ενεργοποιείται ο μηχανισμός αναπροσαρμογής χρεωστικά προς τον Καταναλωτή.
Ll: Τιμή του μεγέθους αναφοράς κάτω από την οποία ενεργοποιείται ο μηχανισμός αναπροσαρμογής πιστωτικά προς τον Καταναλωτή.
α: Συντελεστής Προσαύξησης, ο οποίος επιλέγεται ελεύθερα από τον Προμηθευτή. Είναι αριθμός μεγαλύτερος από το 0.
Οι μονάδες του μηχανισμού πρέπει να ορίζονται κατά τρόπο ώστε το γινόμενο
και το γινόμενο
να εκφράζονται τελικώς σε €/kWh.
β: Συντελεστής Προσαύξησης, ο οποίος επιλέγεται ελεύθερα από τον Προμηθευτή. Είναι αριθμός μεγαλύτερος ή ίσος από το 0 και εκφράζεται σε €/kWh.
Όπως αναφέρει το energycost.gr η πιο συνηθισμένη εφαρμογή, είναι αυτή που παρακολουθεί τις μεταβολές της Οριακής Τιμής Συστήματος, και πλέον της Τιμής Αγοράς Επόμενης Ημέρας, δηλαδή της τιμής της χονδρεμπορικής αγοράς ηλεκτρικής ενέργειας, η οποία προσδιορίζεται με βάση το θεμελιώδη κανόνα της ζήτησης και της προσφοράς για κάθε ώρα και εκφράζεται κατά κανόνα σε €/MWh.
Μια άλλη εφαρμογή είναι αυτή που παρακολουθεί τις μεταβολές του κόστους δικαιωμάτων εκπομπών αερίων ρύπων , δηλαδή της τιμής του Ευρωπαϊκού Χρηματιστηρίου Ρύπων, η οποία προσδιορίζεται με ανάλογο τρόπο.
Ο υπολογισμός από το σύστημα της εκάστοτε επιβάρυνσης ή ελάφρυνσης του λογαριασμού (καθότι οι μηχανισμοί αυτοί λειτουργούν και υπέρ των καταναλωτών όταν διαμορφώνονται οι πρόσφορες συνθήκες) πραγματοποιείται ως εξής:
- Για κάθε μήνα, το Ελληνικό Χρηματιστήριο Ενέργειας (ή το Ευρωπαϊκό Χρηματιστήριο Ρύπων αντίστοιχα), προσδιορίζει τη μέση Οριακή Τιμή Συστήματος του μήνα (ή για την περίπτωση δικαιωμάτων εκπομπών CO2 το μέσο όρο τιμών κλεισίματος του συμβολαίου μελλοντικής εκπλήρωσης (Future) EUA, όπως αυτές διαμορφώθηκαν με μήνα ωρίμανσης τον Δεκέμβριο του ίδιου έτους)
- Ανάλογα με την περίοδο κατανάλωσης για την οποία ο καταναλωτής πραγματοποιεί σύγκριση, (1 μήνας, 4 μήνες ή ένας χρόνος), η κατανάλωση επιμερίζεται ομοιόμορφα στους μήνες και η τιμή του μηχανισμού προσαρμογής υπολογίζεται με βάση την μέση Οριακή τιμή του κάθε μήνα και την αντίστοιχη κατανάλωση (και αντίστοιχα για την περίπτωση του CO2).
- Αν ο καταναλωτής επιλέξει να μη χρησιμοποιηθεί η Μέση Οριακή Τιμή για κάθε μήνα (ή τιμή δικαιωμάτων CO2) , έχει την επιλογή να την αντικαταστήσει με τιμή της επιλογής του (εν είδη πρόβλεψης) για όλη ωστόσο την περίοδο που επιλέγει.
Αν σε κάποιο τιμολόγιο εφαρμόζεται η προτεινόμενη από τη ΡΑΕ τυποποίηση, πραγματοποιούνται υπολογισμοί με βάση την προτεινόμενη μεθοδολογία. Για την ενημέρωσή σας, οι Προμηθευτές καταχωρούν τις τιμές της μεθοδολογίας, δηλαδή:
Lu: Τιμή του μεγέθους αναφοράς πάνω από την οποία ενεργοποιείται ο μηχανισμός αναπροσαρμογής χρεωστικά προς τον Καταναλωτή. (€/MWh)
Ll: Τιμή του μεγέθους αναφοράς κάτω από την οποία ενεργοποιείται ο μηχανισμός αναπροσαρμογής πιστωτικά προς τον Καταναλωτή. (€/MWh)
α: Συντελεστής Προσαύξησης, ο οποίος επιλέγεται ελεύθερα από τον Προμηθευτή. Είναι αριθμός μεγαλύτερος από το 0.
β: Συντελεστής Προσαύξησης, ο οποίος επιλέγεται ελεύθερα από τον Προμηθευτή. (€/kWh)
Ωστόσο, δίνεται η δυνατότητα στους προμηθευτές να χρησιμοποιήσουν εναλλακτικές μορφές μηχανισμών τυποποίησης.
Για τον προσδιορισμό της χρέωσης ή της πίστωσης καταρτίζονται από τους Προμηθευτές πίνακες αντιστοίχισης τιμών της οριακής τιμής Συστήματος με την αντίστοιχη χρέωση ή πίστωση σε €/kWh.
Στους πίνακες αυτούς, οριοθετείται η «περιοχή προστασίας», όπου ο συντελεστής χρέωσης ή πίστωσης είναι 0, ενώ βηματικά χτίζονται οι περιοχές που αντιστοιχούν σε αντίστοιχη χρέωση ή πίστωση σε €/kWh.
Αμφότεροι οι υπολογισμοί αποσκοπούν στο να δώσουν στον καταναλωτή μια προσέγγιση (με βάση τις ανωτέρω ρεαλιστικές παραδοχές) της πρόσθετης χρέωσης ή του πρόσθετου οφέλους που μπορεί να υπάρχει σε προϊόντα ηλεκτρικής ενέργειας με ομοιόμορφο τρόπο μεταξύ των προμηθευτών και δεν αποτελούν ενδεδειγμένη μέθοδο απόλυτης τιμολόγησης και επαλήθευσης των λογαριασμών κατανάλωσης.

