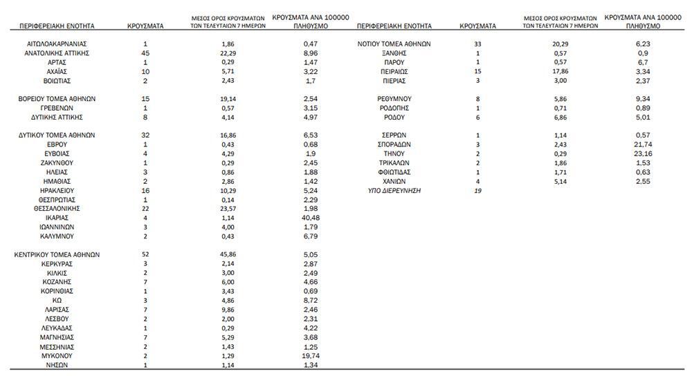
Αναλυτικότερα τα κρούσματα στις περιφερειακές ενότητες που ανήκουν στην Αττική:
Ανατολική Αττική: 45 κρούσματα
Βόρειος Τομέας Αθηνών: 15 κρούσματα
Δυτική Αττική: 8 κρούσματα
Δυτικός Τομέας Αθηνών: 32 κρούσματα
Κεντρικός Τομέας Αθηνών: 52 κρούσματα
Νήσων: 1 κρούσματα
Νότιος Τομέας Αθηνών: 33 κρούσματα
Πειραιώς: 15 κρούσματα
Στη Θεσσαλονίκη καταγράφηκαν 22 νέες μολύνσεις.
Αναλυτικά, η γεωγραφική κατανομή των σημερινών κρουσμάτων στην Αττική και στην υπόλοιπη Ελλάδα:

Η ανακοίνωση του ΕΟΔΥ για τα κρούσματα:
Τα νέα εργαστηριακά επιβεβαιωμένα κρούσματα της νόσου που καταγράφηκαν τις τελευταίες 24 ώρες είναι 375, εκ των οποίων 4 εντοπίστηκαν κατόπιν ελέγχων στις πύλες εισόδου της χώρας. Ο συνολικός αριθμός των κρουσμάτων ανέρχεται σε 420.670 (ημερήσια μεταβολή +0.1%), εκ των οποίων 51.2% άνδρες. Με βάση τα επιβεβαιωμένα κρούσματα των τελευταίων 7 ημερών, 41 θεωρούνται σχετιζόμενα με ταξίδι από το εξωτερικό και 618 είναι σχετιζόμενα με ήδη γνωστό κρούσμα.
Οι νέοι θάνατοι ασθενών με COVID-19 είναι 12, ενώ από την έναρξη της επιδημίας έχουν καταγραφεί συνολικά 12.646 θάνατοι. Το 95.2% είχε υποκείμενο νόσημα ή/και ηλικία 70 ετών και άνω.
Ο αριθμός των ασθενών που νοσηλεύονται διασωληνωμένοι είναι 238 (64.3% άνδρες). Η διάμεση ηλικία τους είναι 67 έτη. To 84.0% έχει υποκείμενο νόσημα ή/και ηλικία 70 ετών και άνω. Από την αρχή της πανδημίας έχουν εξέλθει από τις ΜΕΘ 2.657 ασθενείς. Οι εισαγωγές νέων ασθενών Covid-19 στα νοσοκομεία της επικράτειας είναι 46 (ημερήσια μεταβολή -13.21%). Ο μέσος όρος εισαγωγών του επταημέρου είναι 55 ασθενείς. Η διάμεση ηλικία των κρουσμάτων είναι 43 έτη (εύρος 0.2 έως 106 έτη), ενώ η διάμεση ηλικία των θανόντων είναι 78 έτη (εύρος 0.2 έως 106 έτη).
Ακολούθησε το eleftherostypos.gr στο Google News και μάθε πρώτος όλες τις ειδήσεις
Ειδήσεις σήμερα
- Γλυκά Νερά: Αυτό είναι το κελί του Μπάμπη Αναγνωστόπουλου στις φυλακές Κορυδαλλού [βίντεο]
- Καιρός: «Λιώνει» τα πάντα και το Σάββατο ο καύσωνας – Πού θα χτυπήσουν τα 43αρια [βίντεο]
- Πανελλήνιες 2021: Τα θέματα που έπεσαν στα τέσσερα μαθήματα των ΕΠΑΛ
- Nadia Nadim: Η Αφγανή πρόσφυγας, που τελειώνει την ιατρική και έχει κάνει το ευρωπαϊκό ποδόσφαιρο να… παραμιλά
Δείτε όλες τις τελευταίες Ειδήσεις από την Ελλάδα και τον Κόσμο, ανά πάσα στιγμή στο EleftherosTypos.gr
Ακολουθήστε το EleftherosTypos.gr σε Instagram, Facebook και Twitter

