Αριθμοί που προβληματίζουν πάρα πολύ τους ειδικούς που λένε ότι το ΕΣΥ έχει αρχίσει να πιέζεται πάρα πολύ και αν η κατάσταση δεν βελτιωθεί η έκρηξη των διασωληνώσεων θα δημιουργήσει πολύ μεγάλο πρόβλημα.
Σύμφωνα με τα όσα μεταδόθηκαν στο κεντρικό δελτίο ειδήσεων του ΣΚΑΪ η κυβέρνηση προετοιμάζεται για κάθε ενδεχόμενο καθώς κανείς δεν είναι σε θέση να γνωρίζει το πώς θα εξελιχθούν οι επόμενες εβδομάδες, οι οποίες έχουν χαρακτηριστεί ως κρίσιμες.
Συγκεκριμένα,δεν θεωρείται απίθανο το σενάριο να δούμε τους ανεμβολίαστους να μπορούν να πάνε μόνο σε σούπερ μάρκετ και φαρμακεία μη έχοντας την δυνατότητα να μετέχουν σε καμία άλλη δραστηριότητα ακόμη και με rapid test.
Την ίδια ώρα, ένα ιδιαιτέρως ακραίο σενάριο, το οποίο ωστόσο θεωρείται απευκταίο, είναι οι ανεμβολίαστοι να μην είναι σε θέση να εισέλθουν ούτε σε σούπερ μάρκετ κάνοντας έτσι τις αγορές τους μόνο ηλεκτρονικά.
Η ανακοίνωση του ΕΟΔΥ για τα νέα κρούσματα σήμερα 10-11:
Τα στοιχεία που παρουσιάζονται αφορούν περιστατικά από την επιδημιολογική επιτήρηση της νόσου από το νέο κορονοϊό (COVID- 19), με βάση τα δεδομένα που έχουν δηλωθεί στον ΕΟΔΥ και καταγραφεί μέχρι τις 10 Νοεμβρίου 2021 (ώρα 15:00).
Τα νέα εργαστηριακά επιβεβαιωμένα κρούσματα της νόσου που καταγράφηκαν τις τελευταίες 24 ώρες είναι 7.105, εκ των οποίων 5 εντοπίστηκαν κατόπιν ελέγχων στις πύλες εισόδου της χώρας. Ο συνολικός αριθμός των κρουσμάτων ανέρχεται σε 808.297 (ημερήσια μεταβολή +0.9%), εκ των οποίων 50.7% άνδρες.
Με βάση τα επιβεβαιωμένα κρούσματα των τελευταίων 7 ημερών, 125 θεωρούνται σχετιζόμενα με ταξίδι από το εξωτερικό και 2.472 είναι σχετιζόμενα με ήδη γνωστό κρούσμα. To Rt για την επικράτεια βάσει των κρουσμάτων εκτιμάται σε 1.27 (95% ΔΕ: 1.16 – 1.40).
Οι νέοι θάνατοι ασθενών με COVID-19 είναι 70, ενώ από την έναρξη της επιδημίας έχουν καταγραφεί συνολικά 16.493 θάνατοι. 2 Το 95.3% είχε υποκείμενο νόσημα ή/και ηλικία 70 ετών και άνω.
Ο αριθμός των ασθενών που νοσηλεύονται διασωληνωμένοι είναι 489 (61.6% άνδρες). Η διάμεση ηλικία τους είναι 66 έτη. To 82.8% έχει υποκείμενο νόσημα ή/και ηλικία 70 ετών και άνω. Μεταξύ των ασθενών που νοσηλεύονται διασωληνωμένοι, 405 (82.82%) είναι ανεμβολίαστοι ή μερικώς εμβολιασμένοι και 84 (17.18%) είναι πλήρως εμβολιασμένοι. Από την αρχή της πανδημίας έχουν εξέλθει από τις ΜΕΘ 3.374 ασθενείς.
Οι εισαγωγές νέων ασθενών Covid-19 στα νοσοκομεία της επικράτειας είναι 429 (ημερήσια μεταβολή +4.38%). Ο μέσος όρος εισαγωγών του επταημέρου είναι 385 ασθενείς.Η διάμεση ηλικία των κρουσμάτων είναι 38 έτη (εύρος 0.2 έως 106 έτη), ενώ η διάμεση ηλικία των θανόντων είναι 78 έτη (εύρος 0.2 έως 106 έτη).
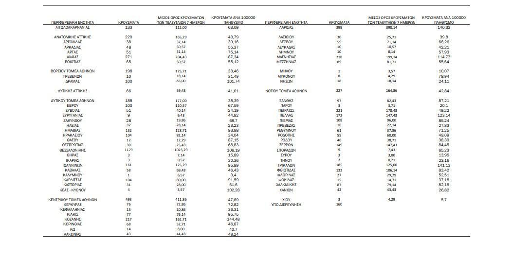
Κορονοϊός: 1.631 νέα κρούσματα στην Αττική – Ο χάρτης της διασποράς
Πρωταθλήτρια παραμένει η Αττική καθώς από τα 7.105 νέα κρούσματα που ανακοίνωσε σήμερα ο ΕΟΔΥ οι 1.631 μολύνσεις εντοπίζονται στο Λεκανοπέδιο.
Την ίδια ώρα στο «κόκκινο» παραμένουν η Θεσσαλονίκη με 1.179, η Λάρισα με 399, η Αχαΐα με 271 και η Μαγνησία με 218.
Αναλυτικότερα τα κρούσματα στις περιφερειακές ενότητες που ανήκουν στην Αττική:
• Ανατολική Αττική 220
• Βόρειος Τομέας Αθήνας 198
• Δυτική Αττική 66
• Δυτικός Τομέας Αθήνας 188
• Κεντρικός Τομέας Αθήνας 493
• Νήσων 18
• Νότιος Τομέας Αθήνας 227
• Πειραιάς 221
Αναλυτικά, η γεωγραφική κατανομή των σημερινών κρουσμάτων:

Κορονοϊός: Πόσα τεστ έγιναν σήμερα – Ποια η θετικότητα στην Ελλάδα
Στα ύψη τα ποσοστά θετικότητας του κορονοϊού στην Ελλάδα σύμφωνα με την νεότερη έκθεση του ΕΟΔΥ για την πορεία της πανδημίας στη χώρα.
Την εβδομάδα αναφοράς, το ποσοστό θετικότητας ήταν 2.39% σε σύνολο 1.805.427 εργαστηριακών ελέγχων (RT-PCR/Rapid-Ag) και 0.48% σε σύνολο 2.298.907 αυτοδιαγνωστικών ελέγχων. Στο σύνολο των ελέγχων, το ποσοστό θετικότητας ήταν 1.05%.
Σήμερα, Τετάρτη (10/11), έγιναν αρκετά λιγότερα τεστ ανίχνευσης κορονοϊού σε σχέση με χτες που είχαμε 636.213. Συγκεκριμένα, το τελευταίο 24ωρο έγιναν 18.649 PCR τεστ και 332.905 rapid τεστ, συνολικά δηλαδή 351.554.
Λόγω του μικρότερου αριθμού τεστ, ο δείκτης θετικότητας ανέβηκε λίγο και έφτασε το 2,02%. Πρόκειται για ποσοστό μικρότερο από το επίπεδο συναγερμού του 3%. Χτες, ο δείκτης θετικότητας ήταν 1,35%.
Δείτε το ποσοστό θετικότητας ανά περιοχή στην Ελλάδα

Ακολούθησε το eleftherostypos.gr στο Google News και μάθε πρώτος όλες τις ειδήσεις
- Κορονοϊός: 1.631 νέα κρούσματα στην Αττική – Ο χάρτης της διασποράς
- Κορονοϊός 10/11: 7.105 κρούσματα, 70 νεκροί, 489 διασωληνωμένοι
- Κομισιόν: Σύμβαση με τη φαρμακευτική Valneva για πιθανό νέο εμβόλιο
- Κορονοϊός: Έφτασαν στην Ελλάδα 2.000 μονοκλωνικά αντισώματα – Τι αναφέρει το ΙΦΕΤ

